1.流量计规格、基本参数和性能指标(见表1)
(表1)
|
型号 |
公称通经DN(mm) |
流量范围(m3/h) |
公称压力(MPa) |
压力损失(kPa) |
壳体材料 |
|
KS990-015 |
15 |
1~15 |
1.6
2.5
4.0
6.3 |
△P=ρ/1.205×PN |
不锈钢1Cr18Ni9Ti或铝合金ZL101A |
|
KS990-020 |
20 |
2-16 |
|
KS990-025 |
25 |
3~30 |
|
KS990-032 |
32 |
4.5~60 |
|
KS990-040 |
40 |
7~70 |
|
KS990-050 |
50 |
12~130 |
|
KS990065 |
65 |
20~300 |
|
KS990-080 |
80 |
35~400 |
|
KS990-100 |
100 |
70~800 |
|
KS990-125 |
125 |
80~1000 |
|
KS990-150 |
150 |
190~1900 |
|
KS990-200 |
200 |
240~3600 |
注:
1.准确度:为温度、压力修正后的系统精度;
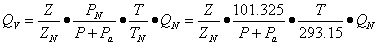
2.标准状态条件:P=101.325KPa,T=293.15K
3.使用条件:
环境温度:-30℃~+65℃
相对湿度:5%~95%
介质温度:-15℃~+80℃
0℃~+80℃
大气压力:86KPa~106KPa
1.电气性能指标
2.工作电源:
A.外电源:+24VDC±15%,纹波<5%,适用于4~20mA输出、脉冲输出、报警输出、RS-485等;
B.内电源:1组3.6V锂电池(ER26500),当电压低于3.0V时,出现欠压指示。
3.整机功耗:
A.外电源:<2W;
B.内电源:平均功耗1mW,可连续使用两年以上。
4.脉冲输出方式:
A.工况脉冲信号,直接将流量传感器检测的工况脉冲信号经光耦隔离放大输出,高电平≥20V,低电平≤1V;
B.定标脉冲信号,与IC卡阀门控制器配套,高电平幅度≥2.8V,低电平幅度≤0.2V,
单位脉冲代表体积量可设定范围:0.001m
3~100m
3。单选择该值时必须注意:定标脉 冲信号频率应≤900Hz。
C.定标脉冲信号,经光耦隔离放大输出,高电平≥20V,低电平≤1V。
5. RS-485通信(光电隔离),可实现以下功能:
采用RS-485接口,可直接与上位机或二次表联网,远传显示介质的温度、压力和经温度、压力补偿后的标准体积流量和标准体积总量;
6. 4~20mA标准电流信号(光电隔离)
与标准体积流量成正比,4mA对应0 m
3/h, 20 mA对应最大标准体积流量(该值可在一级菜单中进行设置),制式:两线制或三线制,流量计可根据所插电流模块自动识别,并正确输出。
7.控制信号输出:
A.下限报警信号(LP):光电隔离,高低电平报警,报警电平可设定,工作电压 +12V~+24V,最大负载电流50mA;
B.上限报警信号(UP):光电隔离,高低电平报警,报警电平可设定,工作电压 +12V~+24V,最大负载电流50mA;
C.关阀报警输出(BC端,IC卡控制器用):逻辑门电路输出,正常输出低电平,幅度≤0.2V;报警输出高电平,幅度≥2.8V,负载电阻≥100kΩ;
D.电池欠压报警输出(BL端,IC卡控制器用):逻辑门电路输出,正常输出低电平,幅度≤0.2V;报警输出高电平,幅度≥2.8V,负载电阻≥100kΩ;
8.防爆标志:ExdIIBT4
9.防护等级:IP65
10.压力损失
流量计实际压力损失计算公式如下:

…………………(1)
式中:
ΔP
1——流量计实际压力损失(KPa);
ρ ——被测介质密度(kg/m
3)
ΔP ——介质为干空气时流量计的压力损失(KPa),其特性曲线见图所示
11.接线口:出线接口为M20×1.5内螺纹。
上一篇:KS990旋涡流量计结构与工作原理
下一篇:KS990旋进旋涡流量计选型与安装28165万彩网10